Rctrailblazers - All About Everything

NETGEAR Nighthawk 5G M7 Hotspot Review: WiFi 7, eSIM & Portable Powerhouse!
Matthew Rhys as Richard Burton: A Sensational Performance in 'Playing Burton'
WWE SmackDown Revival: Key Booking Moves to Fix the Blue Brand
Jia He Grand Anniversary & Christmas Festivities: Culinary Delights Await!
XRP Explodes? Franklin Templeton ETF Launch & Price Prediction (Nov 2023)
PvZ 3 is BACK! + New Sims Game?! EA Mobile News!
Singapore Blocks MalaysiaNow Over Falsehoods: POFMA Explained
Streamer Awards 2025: Unveiling the Nominees and Categories
Crystal Dynamics Layoffs: Third Round of Job Cuts in 2025
Ethiopia to Host COP32: Africa's Climate Finance and Sustainable Leadership
Fertility Treatments and DNA Mutations: What the Latest Research Reveals
Knives Out 3: Wake Up Dead Man - Official Trailer Review | Daniel Craig, Josh Brolin, Glenn Close
From YouTube to ARIA Awards: Ninajirachi’s Journey to ‘I Love My Computer’
Amazon to Raise $12 Billion in Bond Sale: What You Need to Know
Tesla Holiday Updates Through the Years: A Comprehensive Review
France and Ukraine Sign Jet and Missile Defense Deal
Johnny Knoxville Gets Married! John Waters Officiates Wedding
Apple Cider Vinegar & Kidney Stones: A Whimsical Journey into Geology with Siân Phillips
Unveiling Android 17's Secret Codename: Cinnamon Bun
LifeMD's New Pricing for Wegovy and Ozempic: Affordable Weight Loss Meds
The Beatles Anthology on Disney+: New Trailer, Restored Footage & Unreleased Content!
Porsche Formula E Revolution: 4 Factory Cars & GEN4 Power Boost in 2026!
David Nicholls Brings Adrian Mole to Life: A BBC Adaptation
Richard Armitage, Bel Powley & Henry Rowley Narrate Alice Feeney's 'My Husband's Wife' Audiobook!
Wicked: For Good - Exclusive Scene Revealed! Glinda & Elphaba's Emotional Reunion
TG TET 2025: How to Apply Online and Important Details
Ireland's Economy at Risk? Central Bank Warns on US Tech Stock Bubble
SSWCD Punjab Anganwadi Recruitment 2025: Apply Online for 6110 Posts!
Long-Nosed Pinocchio Chameleon: Two New Species Discovered in Madagascar!
Unveiling the Power of Ancient Viruses: A New Weapon Against Superbugs
Huntington's Disease Breakthrough: Genetic Tweak Delays Symptoms and Boosts Brain Cleanup
Steam Machine's Impact on PC Gaming: Can Valve Solve Linux's Cheating Issue?
Zac Posen’s Gap Menswear Debut: Unboxing the GapStudio Collection with Celebrity-Approved Styles
Riskified's Role in Combating E-commerce Fraud: A Holiday Season Focus
African Road Safety Crisis: Urgent Action Needed to Cut Deaths and Economic Losses
AI Revolutionizes Milky Way Simulation: 100 Billion Stars, 7 Million CPU Cores
Microsoft's Xbox Game Publishing Guide: Everything Developers Need to Know!
Alaïa Resort 2026 Collection: Pieter Mulier's Iconic Designs & New Bags Revealed
Celebrity Chef Showdown: Which Restaurant Reigns Supreme?
Wegovy Price Cut: Novo Nordisk Lowers Costs for Obesity Drug - Zepbound Updates!
Breaking Down Cirrus Clouds: How Anvil & In-Situ Clouds Shape Our Climate | AGU Advances
Why Arctic Shorelines are Crumbling: Scientists Recreate Coastal Erosion in a Lab
Wild Boars Ravaging Arava Farms: Farmers Fight Back Against Crop Destruction
New Guidelines for Assessing Older Cancer Patients in Resource-Limited Areas
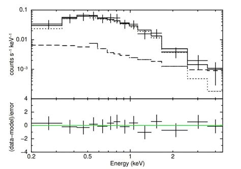
Most X-ray Luminous Radio-Loud Quasar Discovered: ID830 Explained!
Ayushmann Khurrana's 'Thamma' Smashes Box Office Records! | Maddock Horror Comedy Universe Success
Jeff Bezos' New AI Venture: Project Prometheus Unveiled
Knives Out 3: Wake Up Dead Man Trailer Breakdown! Scooby-Doo Mystery?

Popular Posts

After Sun Creme & Après Lotion ✔️ 20 % Rabatt
The Best Eyelash Curler for 2025 - Pretty Me Philippines
The Top 10 Blood Pressure Smartwatches in 2024
Hair Foam Vs. Hair Mousse - What’s The Difference?
Pan-Asian Metropolis — Teresa Teng (鄧麗君)
مساحة تخزين أكبر والمزيد من إمكانات الذكاء الاصطناعي وغيرها من ميزات Google One
It might be late to the party, but iPhone Fold could have an edge with this hinge material
18th BFI: Future Film Festival 2024: Matthew Reese
I Used This Wahl Clipper for 15 DIY Haircuts. Here’s My Verdict.
10 Bancos en Chalatenango - ChalatenangoSV
Actualités Paris : infos, faits divers, sport, culture et actu de l'Île-de-France en direct
Workers Restoring Dunes In A Belgian Park Just Unearthed Three Concrete Bunkers From WWII
Ehie Denies Burning Assembly Complex, To Sue Nwaeke For Libel
Top 7 Reiseziele 2024 | sonnenklar.TV Reiseblog
Discover Delhi's 26 Top Ice Cream Spots To Beat The Heat With The Ultimate Summer Treats!
Colorado Sehenswürdigkeiten: Meine Top-20-Highlights
Kom igång med Google Foto - Dator
South Alabama QB Gio Lopez commits to UNC football, Bill Belichick
Personal Income Tax | South African Revenue Service
The President’s wife’s donations
TV’s Measurement Conundrum: Are Broadcasters Getting Short-Changed On Audience Estimates?
Studio Sheer Foundation | Lightweight Foundation | MAC Cosmetics Australia
Discover the Duke of Ed Award Framework | The Duke of Edinburgh's Award Australia
I Can Confirm These 9 Trichologist-Backed Products for Hair Loss Really Work
Download and install Google Chrome - Computer
12 best men's aftershaves 2025: From Dior, Chanel, Zara & more | HELLO!
New Zealand Opens Doors for Wealthy Americans Dreaming of Middle-earth! - THE NORTHERN FORUM
Die 10 besten Tattoo Studios in Gründau 2025
warnings being treated as errors,整一天了还没通过,快疯了!-CSDN社区
Best smartwatch to monitor blood pressure for 2025 - Digital Health Central
Fairy tales, fables and folk tales | Fairytalez.com
Ramsha Khan - Wikiwand
معاني البسملة وفضائلها وأحكامها - موسوعة الاسلام
Wir räumen auf | Sky
Why a High-Quality Device Matters in Professional Pedicure
This Best-Selling Facial Sunscreen Has Over 4,000 Amazon Reviews
Entramos en el palacio de Mónaco donde vive el príncipe Alberto con su mujer Charlene
Beste make up remover 2025: Top 10 beste make up removers
EPA vs DHA: Some of the Best Sources of Omega-3s
Holy Week travel: Couple fulfills dream of visiting nurse mom in UK
China expert reveals why Xi won't budge on tariffs with Trump
HUAWEI Pura 80 Specifications - HUAWEI Philippines
garbage/trash/rubbish/bin bags, bin liners
Højlund rescues point for Manchester United to deny 10-man Bournemouth
Under-fire Ange sends blunt message to critics after miracle win
5 Best Pill Cutters of 2025 - Tested and Reviewed by Homemadetips.com
Can You Use a HELOC to Pay Off Your Mortgage? (2025)
9 Different Types of Clips for Hair